Equinox Resources Limited Stock Market Press Releases and Company Profile

Substantial Titanium Intercept of 61.2m at 11.89% TiO2 from Surface

Mata da Corda Delivers High-Grade Titanium with Niobium and Rare Earth
Mata da Corda Delivers High-Grade Titanium with Niobium and Rare Earth

Sydney, Jan 13, 2025 AEST (ABN Newswire) - Equinox Resources Limited (googlechartASX:EQN) (googlechartEQNXF:OTCMKTS) is pleased to report exceptional results from its ongoing drilling campaign at the Mata da Corda multicommodity Project ("Project"), located in Minas Gerais, Brazil. This Project continues to demonstrate significant potential for multi-commodity mineralisation.

Equinox Resources Managing Director, Zac Komur, commented:

"These high-grade titanium intercepts, averaging 10.23% TiO2 with a consistent grade profile and homogenous distribution, highlight the strong mineralisation continuity of the Mata da Corda Project.

Combined with the potential for niobium and rare earth co-product credits, this district-scale discovery, staked just a year ago, marks a pivotal achievement. These latest results advance us toward our target of delivering our maiden Mineral Resource Estimate in H1 CY2025 and demonstrate the substantial value being built within our portfolio."

Expectional TiO2 grades and Multicommodity Potential

The latest results confirm high grade titanium dioxide (TiO2) grades, while also indicating strong correlations with niobium pentoxide (Nb2O5) and total rare earth oxides (TREO). These results highlight the project's multi-commodity nature and strengthen its overall economic outlook.

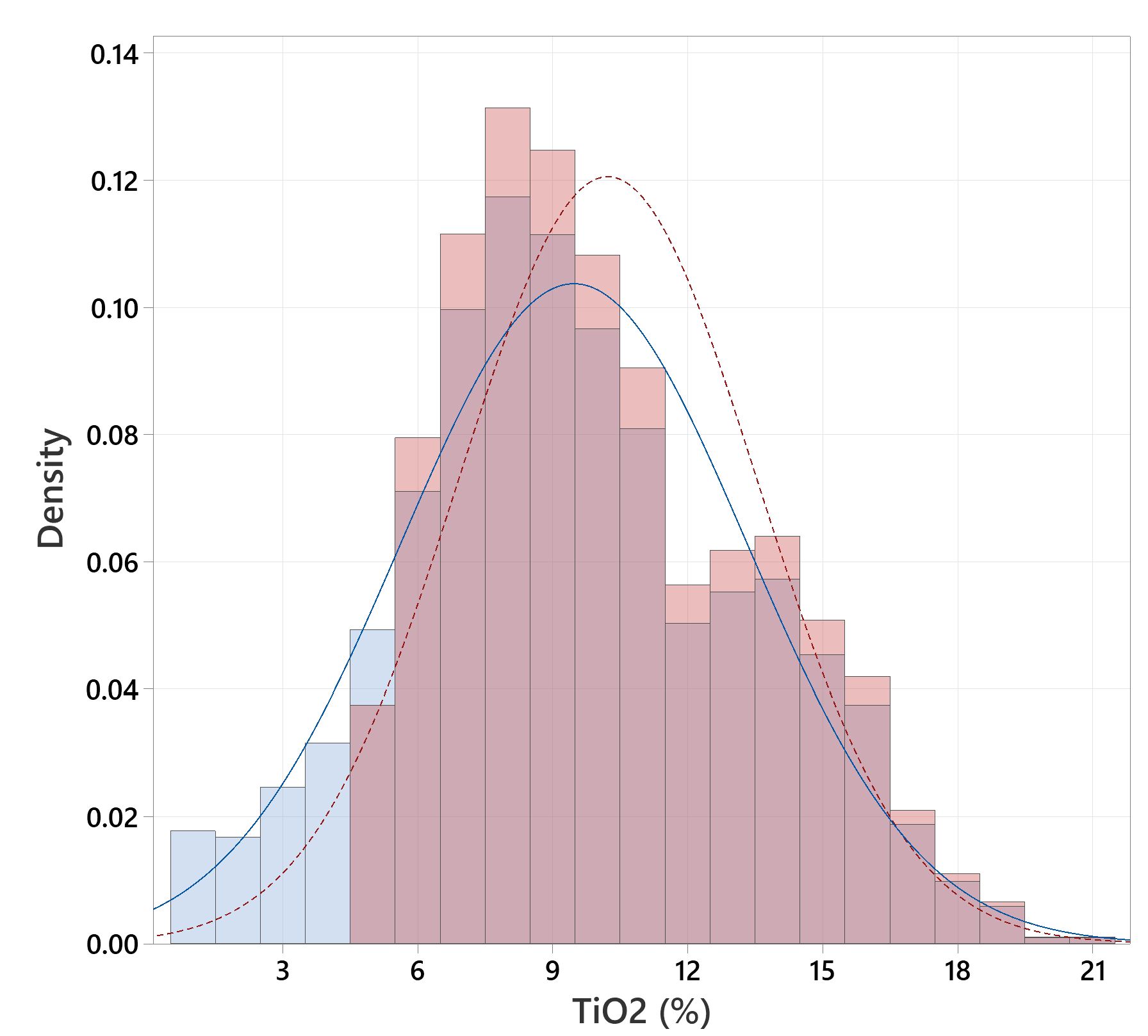
An assay database comprising of over 1,900 drill samples demonstrates that a notable proportion exceeds a notional 5% TiO2 cut-off (see Figure 1*). With an average grade of 10.23% and a standard deviation of 3.3%, the TiO2 results demonstrate a consistent grade profile across the project area, highlighting mineralisation continuity.

A pronounced linear trend becomes evident when TiO2 assay values are plotted against Nb2O5 (see Figure 2*), indicating that higher titanium grades coincide with elevated niobium levels. Niobium is a critical element in high-strength steel alloys used across numerous industrial sectors, including transportation, pipeline infrastructure, and advanced engineering. The consistent co-occurrence of these commodities highlights the project's multi-commodity potential.

A similar pattern emerges when TiO2 is compared with TREO (see Figure 3*), with higher titanium concentrations consistently coinciding with elevated rare earth oxide values. Their association alongside titanium and niobium underscores the Mata da Corda Project's notable multi-revenue potential.

The exploration programme at Mata da Corda continues to advance, with drilling aimed at defining high-grade mineralisation ahead of a maiden Mineral Resource Estimate, targeted for H1 CY2025.

Current activities systematically target priority zones to provide the data necessary for robust resource modelling and future development planning.

In parallel, Equinox Resources is conducting mineral characterisation testwork on drill core, with an emphasis on the nature of titanium mineralisation. These analyses will inform the design of an optimal extraction flowsheet for titanium, while also facilitating the recovery of niobium (Nb2O5) and total rare earth oxides as co-products. Further drilling is planned to refine the spatial extent and continuity of mineralisation, and concurrent metallurgical studies will assess recovery characteristics for TiO2, Nb2O5, and TREO.

Overall, Mata da Corda stands out as a significant titanium opportunity, enhanced by associated niobium and rare earth potential. This multi-commodity framework is particularly compelling given growing global demand for critical metals.

*To view tables and figures, please visit:
https://abnnewswire.net/lnk/95E679A4


About Equinox Resources Limited

Equinox Resources LimitedEquinox Resources Limited (ASX:EQN) focuses on the exploration and development of iron ore and future-facing high margin commodities essential for a sustainable tomorrow. Our projects in Australia and Brazil are strategically positioned to make a significant industry impact.

https://twitter.com/equinox_eqn https://www.youtube.com/channel/UCZQMwSys7ytOG1pA9niyeKQ https://au.linkedin.com/company/equinox-resources-limited abnnewswire.com 


Contact

Investor Inquiries:
Zac Komur, Managing Director
M: +61 467 775 792
E: zac.komur@eqnx.com.au

Media Inquiries:
Kelly-Jo Fry
M: +61 8 6109 6689
E: info@eqnx.com.au



ABN Newswire
ABN Newswire This Page Viewed:  (Last 7 Days: 31) (Last 30 Days: 111) (Since Published: 2871)